Parte de ésa información es almacenada por la compañía operadora por períodos de tiempo que varían en función del propósito. Por ejemplo, para la compañía es necesario saber a qué antena de la red está conectado cada terminal en un momento dado porque cuando ése terminal reciba una llamada, el operador debe poder encaminarla al destinatario. También para poder facturar servicios debe almacenar el tipo de servicio utilizado, la fecha, la hora y el tiempo de utilización; además, para que el usuario pueda comprobar los datos facturados puede añadirse información adicional, como los números origen y destino de un tráfico de voz o de datos.
Y en el caso que nos ocupa, los datos aportados al sumario sobre el teléfono 665040605 son relativos tanto al tráfico como a las ubicaciones del teléfono. Los datos de tráfico (fecha y hora de llamada, teléfono interlocutor y compañía a la que pertenece, así como la duración en segundos de la llamada) aportados por la operadora, y en los que puede verse su logotipo, corresponden al período comprendido entre el 1 de Enero y el 31 de Marzo de 2004, y los datos de ubicaciones comprenden un período desde las 00:13 horas del 28 de Febrero hasta las 17:54 del 3 de Marzo. No existen datos de observación, escucha o grabación.
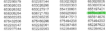
Listado de tráfico de llamadas recibidas por el 665040605, en el que -por cierto- puede apreciarse claramente como 2 de los números que llamaron, han sido ocultados.
Puede apreciarse que la posición más antigua corresponde a los primeros instantes del día 28 de Febrero: a las 00:13 horas.
Lo segundo es que hasta las 21:39 horas del día 18 de Marzo, la policía no dispuso del mandamiento judicial por el que el juez instructor ordenaba a la compañía Amena que facilitase a la policía datos sobre 262 números de teléfono, entre los cuales se encontraba el 665040605 (folios 1091 a 1113), respondiendo así a la petición previamente formulada por la policía ese mismo día 18.
Los datos que el juez demandaba a Amena eran «el tránsito de las llamadas realizadas y recibidas desde la fecha de activación hasta el día de la fecha, asi como la identificación de los números de serie de los terminales telefónicos (IMEI) utilizados por dichos números y titularidad de los números de esa operadora que figuran en dichos tránsitos» y «la relación de las llamadas registradas en los repetidores que dan cobertura a la zona de influencia de las localidades de Morata de Tajuña en la localidad de Madrid y alrededores entre las 00:00 horas del día 01 de febrero de 2004 y el día de la fecha, con indicación de los números de serie de los terminales telefónicos (IMEI) y de los titulares.»Por tanto está documentado que la policía dispuso de los listados de tráfico más de 48 horas antes de que un juez expidiera el preceptivo mandamiento. También está documentado que, con ése mandamiento, no se pidió observación y escucha de ninguno de ésos 262 números, ni listado de ubicaciones de ningún número, sino tan sólo números, terminales utilizados y titulares de los tráficos acaecidos en los puntos de la red Amena próximos a Morata de Tajuña.Entonces ¿qué pinta en el sumario la información sobre las ubicaciones del número 665040605 desde las 00:13 horas del 28 de Febrero hasta las 17:54 del 3 de Marzo?. Y ¿por qué no aparecen las ubicaciones del día 4 en el que todavía tuvo actividad?. Si no existe documento alguno de la policía solicitando ésa información, ni mandamiento de juez alguno ordenando a Amena entregarla, ¿por qué aparece en el sumario?. No debemos olvidar que es precisamente en ésos listados de ubicaciones en los que se apoya la sentencia para demostrar, con tan novedosa tecnología, que los explosivos de la matanza fueron trasladados dese Avilés a Madrid por Jamal Ahmidan.
Bien es cierto que nada permite afirmar que los listados de ubicaciones provengan de la operadora móvil Amena… ni de lugar alguno, puesto que carecen de sello, logotipo o anagrama que permita identificar el origen. Y otro aspecto que resulta llamativo es que Amena conservase durante tantos días las ubicaciones de un teléfono… del que según las declaraciones de los propios funcionarios, la policía no comenzó a investigar hasta la mañana del día 16, comprobando los listados del tráfico realizado, cuando encontraron esas dos llamadas con prefijo 985 de Asturias. ¿Cuántos días almacenaría en aquella época Amena los datos de ubicaciones?.A ésa pregunta encontramos una oportuna respuesta en en folio 5422 de la pieza separada de información telefónica, donde, manuscrito en un listado de otro teléfono (el 656619534, también de pago previo de Amena, e igualmente atribuido a Jamal Ahmidan), aparece un comentario, sin duda escrito por alguno de los investigadores, en el que dice: «No hay ubicaciones porque no estamos en plazo (sólo es de los últimos 15 días)».
Esos 15 días implican que, para que estuviera disponible ésa información con ubicaciones desde la primera hora del 28 de Febrero, y siendo 2004 un año bisiesto, los datos deberían haberlos pedido como última posibilidad, el día 13 de Marzo. Pero el día 13, y suponiendo que ya hubiesen obtenido esa lista de 262 teléfonos, nada todavía (según el sumario) les había permitido reparar en el 665040605.
Por tanto, si los datos que aparecen en el sumario sobre ubicaciones del 665040605 fuesen auténticos, es porque debe existir una orden judicial, previa (y ejecutada) al 14 de Marzo, que motivó el que Amena los mantuviese disponibles, aunque no necesariamente dicha orden tuviera que ser del juzgado que instruyó el caso del 11-M. La otra opción es que sean falsos.Si los datos son reales:
¿Quién y por qué tuvo controlado entre el 28 de Febrero y el 3 de Marzo el teléfono que luego atribuyeron a Jamal Ahmidan?
Y si son falsos:
¿Para qué fueron incluidos en el sumario?
Cabe una interesante reflexión:
el día 16, a los policías que examinaban en las oficinas de Amena los tráficos del teléfono 665040605, les llamó la atención la presencia de dos contactos con unas cabinas públicas de Avilés, pero sin embargo no les llamó la atención en absoluto las cuarenta y dos llamadas que, en un mes, había recibido el 665040605 procedentes del 912560806, un número de linea terrestre del que tenían disponible el titular y el domicilio.
Si el día 16, alguno de los policías hubiese sido mínimamente curioso, habría sentido curiosidad por saber quién era la persona a la que más de una vez por día llamaban desde el 665040605, porque era evidente una intensa relación a juzgar por la frecuencia y duración de las llamadas. La simple curiosidad hubiera llevado a ése policía curioso al número 51 de la calle Villaloobos y allí se hubiese encontrado nada menos que a Jamal Ahmidan, con su presunta esposa, la testigo protegido R22 y el hijo de ésta.
Evidentemente, los acontecimientos posteriores al día 16 habrían sido muy distintos, ¿verdad?.




